EXAMEN FINAL
MATIERE : Techniques d’Identification
Donne les définitions suivantes :
Identification paramétrique :
Erreur quadratique :
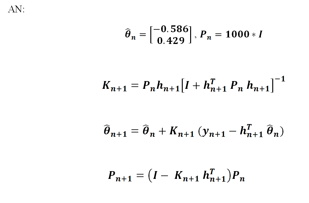
Exercice N1 : soit le système donne par le model suivant :

On a relevé les mesures suivantes des entrées/sorties :







Modifié le: jeudi 5 décembre 2024, 15:08