Donne les définitions suivantes :
Identification paramétrique :
Erreur quadratique :
Estimation par moindres carrés :
Moindre carre récursive :
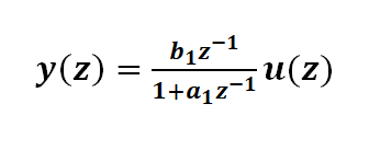
Exercice N1 :
soit le système donne par le model suivant :

I- On a relevé les mesures suivantes des entrées/sorties :
k |
1 |
2 |
3 |
4 |
5 |
6 |
u(k) |
1 |
1 |
1 |
1 |
1 |
1 |
y(k) |
2 |
4 |
6 |
8 |
10 |
12 |
II- Pour une entrée perturbée, les sorties yn (avec bruit-noise) suivantes ont été mesurées :
yn(k) |
1 |
3 |
5.5 |
9 |
11 |
12 |
III- En utilisant les résultats de I et II on veut calculer les paramètres de model par la méthode des variables instrumentales (double moindre carre).


Effectuer une comparaison des résultats.
Modifié le: jeudi 5 décembre 2024, 10:33

