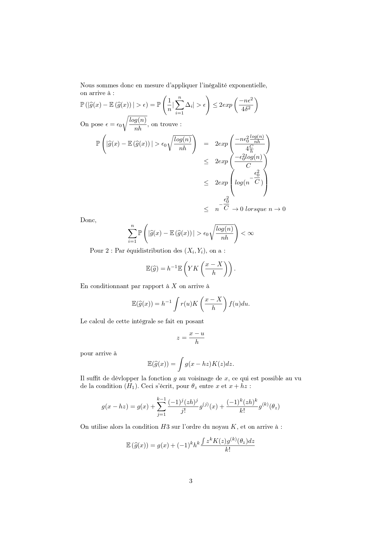
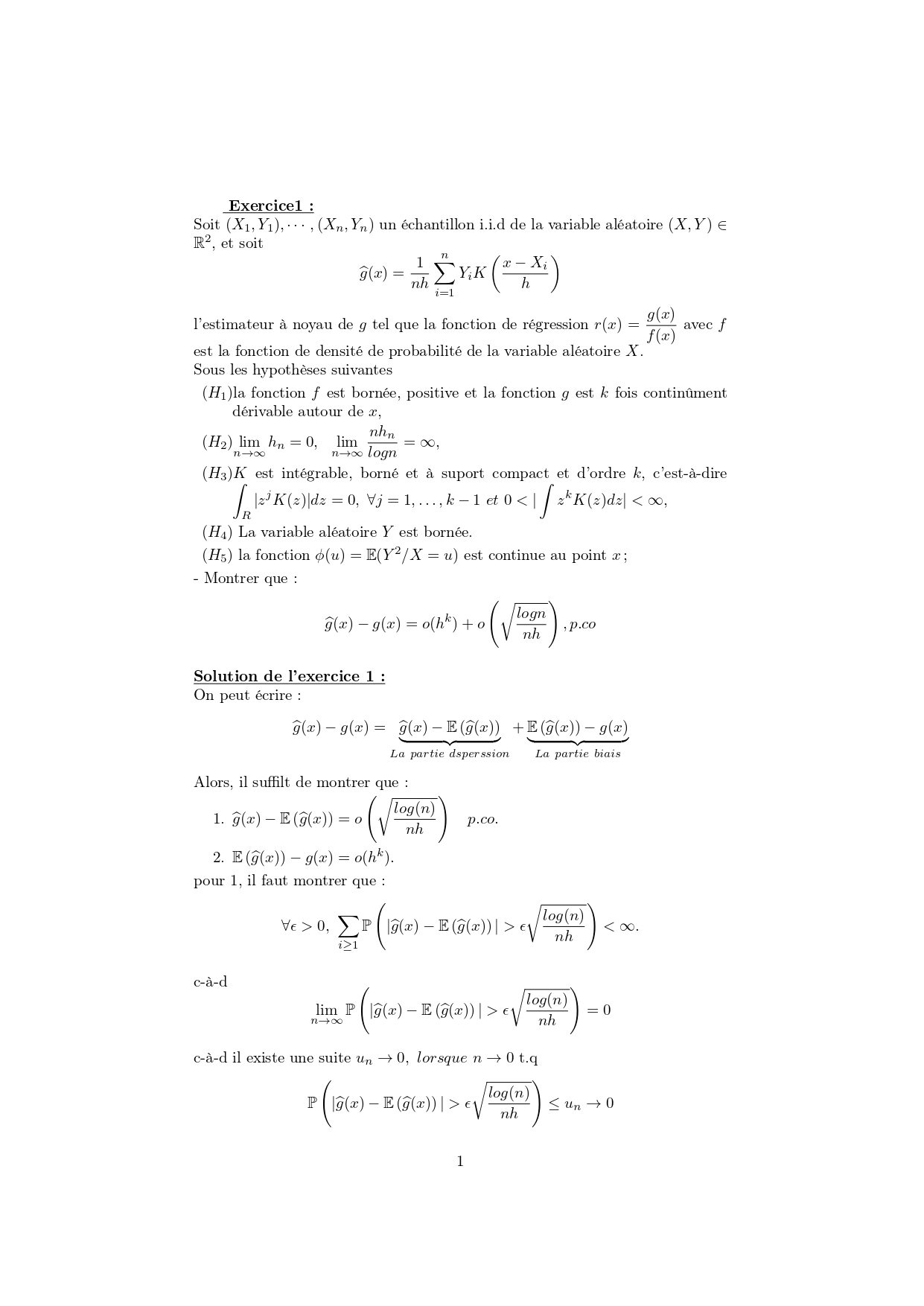
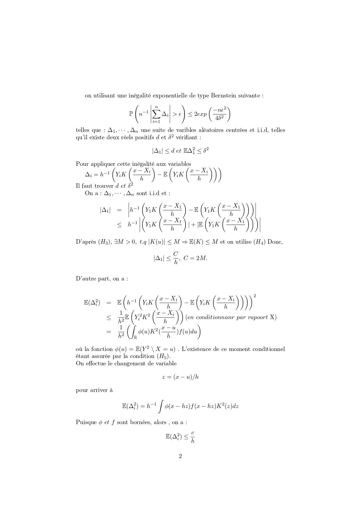
Modifié le: samedi 16 novembre 2024, 12:39