Passer au contenu principal
Nom d’utilisateur
Mot de passe
Connexion
Nom d’utilisateur ou mot de passe oublié ?
usmt
📅 Moodle par année
Consultez les cours de l'année académique 2025/2026
Consultez les cours de l'année académique 2024/2025
Consultez les cours de l'année académique 2023/2024
CILT
Français (fr)
English (en)
Français (fr)
العربية (ar)
بالعربي workplace (ar_wp)
Rechercher des cours
Envoyer
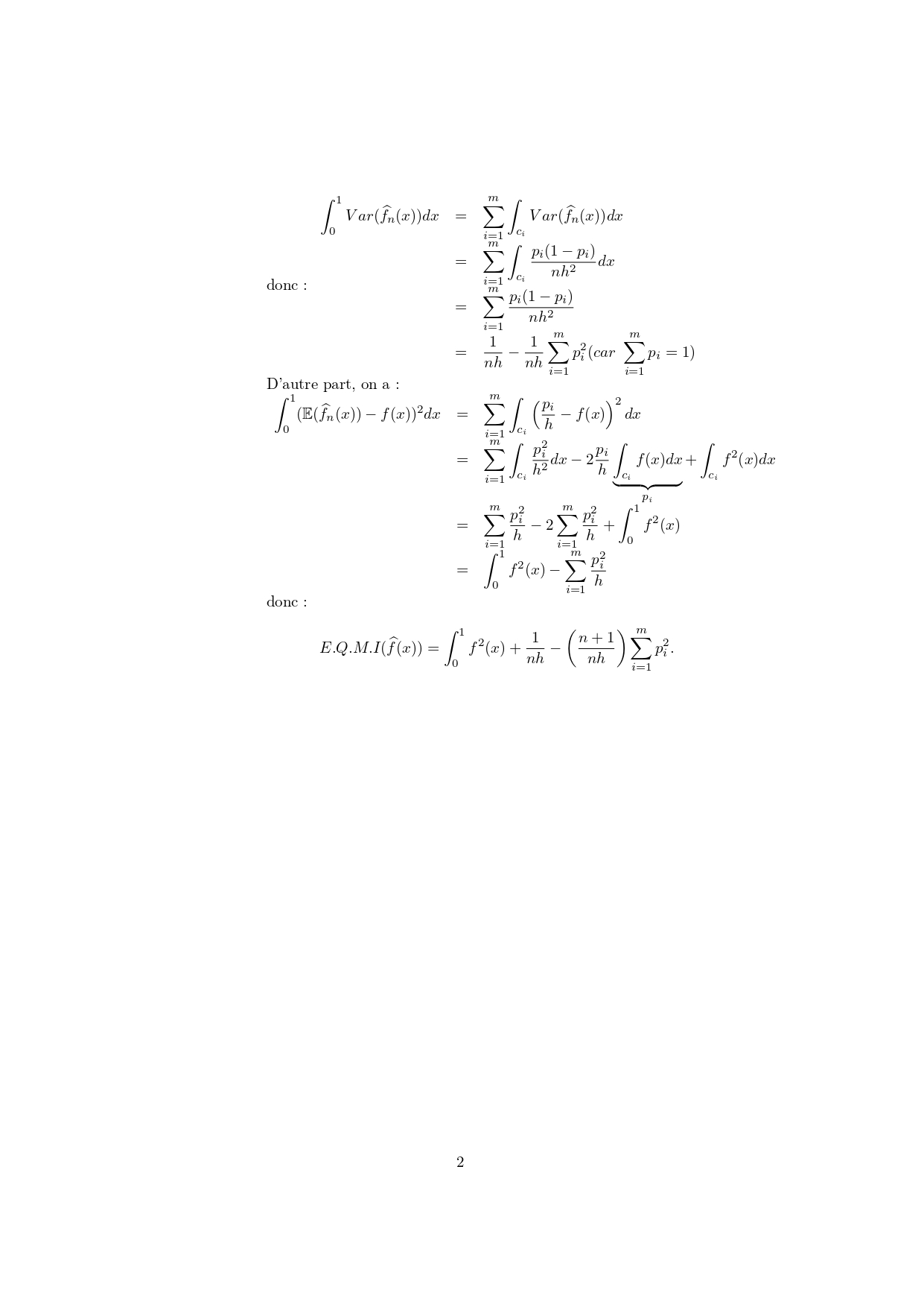
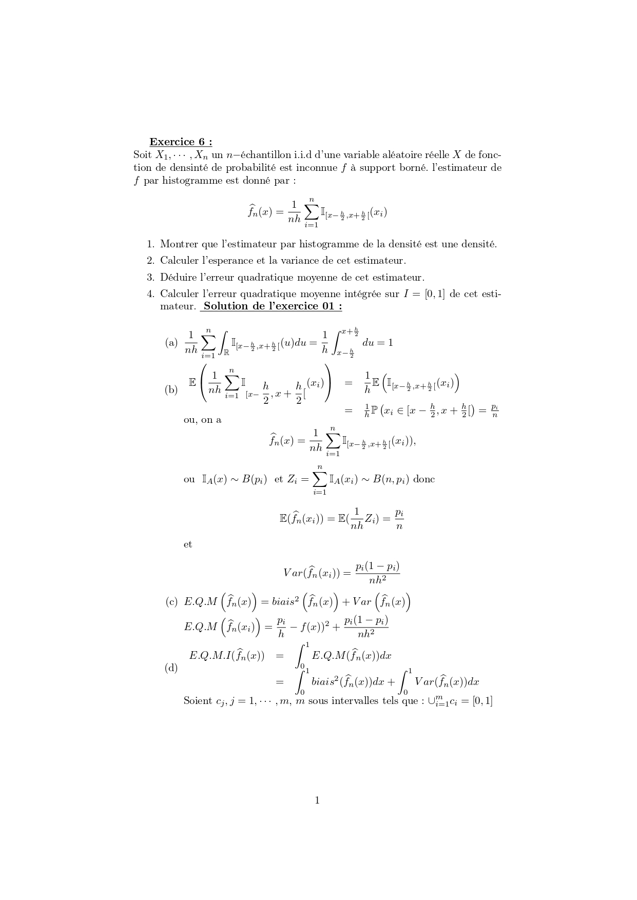
TD - Statistique Non Paramétrique - 2024/2025
TD1
Modifié le: samedi 16 novembre 2024, 12:15
◄ Annonces
Aller à…
Aller à…
Annonces
TD2
TD3
TD1
TD2
TD2 ►
Retour