Terminologie d’échantillonnage:
Après avoir expliqué les concepts fondamentaux et les étapes d’un plan d’échantillonnage, nous allons maintenant définir de façon plus précise quelques termes généraux pour faciliter l’étude des différents plans d’échantillonnage décrits dans les autres sections.
Population : Le mot population désigne l’ensemble des unités parmi lesquelles l’échantillon est prélevé. Si une surface forestière est divisée en un certain nombre de compartiments (ou blocs) qui sont les unités d’échantillonnage, ces compartiments constituent la population des unités d’échantillonnage. En revanche, supposons qu’une surface de forêt soit divisée en mille bandes de 20 m de large chacune, les mille bandes forment la population. De même, si la surface de forêt est divisée en parcelles d’un demi hectare l’une, l’ensemble de ces parcelles forme la population.
Unités d’échantillonnage : Les unités d’échantillonnage peuvent être des unités administratives ou des unités naturelles, par exemple des sections topographiques et des sous-compartiments, ou encore des unités artificielles, par exemple des bandes d’une largeur donnée ou des parcelles de forme et de taille définies. L’unité doit être un élément bien défini ou un groupe d’éléments identifiable dans la surface de forêt, dont les caractéristiques que l’on compte étudier peuvent être observées. La population est donc subdivisée en unités appropriées à l’objet de l’enquête, appelées unités d’échantillonnage.
Base de sondage : Une liste d’unités d’échantillonnage est une base de sondage. Une population est " finie " si elle comprend un nombre fini d’unités d’échantillonnage.
Echantillon : Une ou plusieurs unités d’échantillonnage sélectionnées dans une population suivant une procédure définie constituent un échantillon.
Intensité de l’échantillonnage : L’intensité de l’échantillonnage est le rapport du nombre d’unités incluses dans l’échantillon au nombre d’unités comprises dans la population.
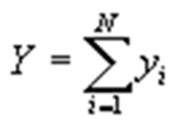
Total de population : Supposons une population finie composée d’unités U1, U2, …, UN. Notons yi la valeur de la caractéristique de la i-ème unité. Par exemple, les unités peuvent être des bandes et les caractéristiques peuvent être le nombre d’arbres d’une espèce déterminée à l’intérieur d’une bande. La somme des valeurs yi ( i = 1, 2, …, N)
est appelée total de population. Dans notre exemple, celui-ci est le nombre moyen d’arbres de l’espèce spécifique dans toute la population.

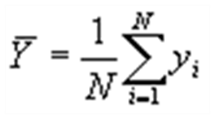
Moyenne de la population: La moyenne arithmétique
est appelée moyenne de la population. Ici, il s’agit du nombre moyen d’arbres de l’espèce considérée, par bande.

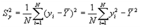
Variance de la population: la variance de la population est une mesure de la variation entre les unités de la population
Dans notre exemple, la variance de la population mesure la variation du nombre d’arbres de l’espèce considérée, entre les bandes. Des valeurs élevées indiquent une variation importante entre les unités de la population, alors que des valeurs faibles montrent que les valeurs de la caractéristique dans les unités sont proches de la moyenne de la population. La racine carrée de la variance est connue sous le nom d’ écart-type.

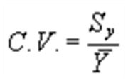
Coefficient de variation : Le coefficient de variation est le rapport, généralement exprimé en pourcentage, de l’écart type à la valeur de la moyenne arithmétique

Du fait qu’il est adimensionnemenl, le coefficient de variation est un instrument précieux pour comparer les variations de deux ou plusieurs populations