تخطى إلى المحتوى الرئيسي
اسم المستخدم
كلمة المرور
تسجيل الدخول
هل نسيت اسم المستخدم أو كلمة المرور؟
usmt
📅 Moodle par année
Consultez les cours de l'année académique 2025/2026
Consultez les cours de l'année académique 2024/2025
Consultez les cours de l'année académique 2023/2024
CILT
العربية (ar)
English (en)
Français (fr)
العربية (ar)
بالعربي workplace (ar_wp)
البحث في المقررات الدراسية
تسليم
Mathématiques 3
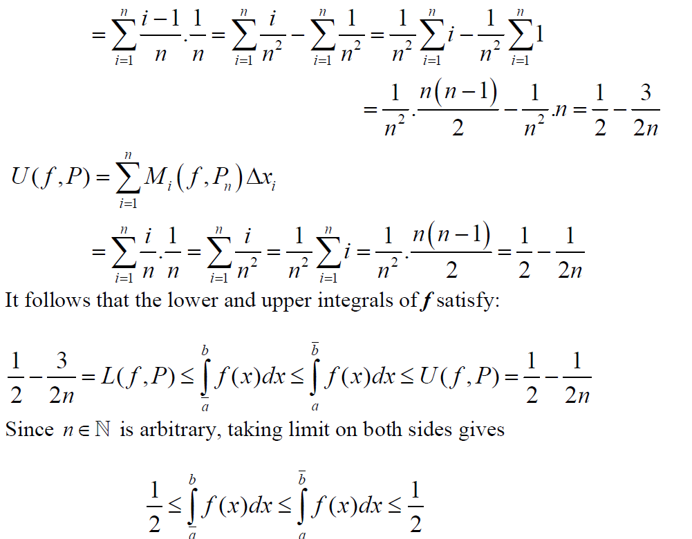
Course 1: Riemann Integrals
آخر تعديل: الأحد، 12 نوفمبر 2023، 8:59 AM
► Annonces
الانتقال إلى...
الانتقال إلى...
Annonces
Annonces
TD: Riemann Integrals
Course 2: Improper Integrals
TD: improper_integrals
Course 3: Double Integrals
TD: Double Integrals
Triple integral
TD: Triple integral
Triple integral in cylindrical and spherical coordinates
TD Triple integral in cylindrical
Series
TD Séries
Functional series
Series TD2
TD3(suite)
Equations différentielles
TD: Equations differentielles
Partial differential equations
TD Partial differential equations
Transformée de Fourier
Transformée de Fourier 2
TD : Transformée de Fourier
Transformée de Laplace
TD : transformé de laplace
Contrôle continu
Correction de l'examen
Test
Correction d'examen 2022
Test 2
solution test
Test 3
Correction de l'Examen
TD: Riemann Integrals ◄
العودة