Passer au contenu principal
Nom d’utilisateur
Mot de passe
Connexion
Nom d’utilisateur ou mot de passe oublié ?
usmt
📅 Moodle par année
Consultez les cours de l'année académique 2025/2026
Consultez les cours de l'année académique 2024/2025
Consultez les cours de l'année académique 2023/2024
CILT
Français (fr)
English (en)
Français (fr)
العربية (ar)
بالعربي workplace (ar_wp)
Rechercher des cours
Envoyer
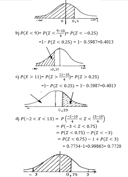
احصاء 3
تمارين مع الحلول
الحــــــــــــــــــــــــــــــــــــــــل
Modifié le: mercredi 22 novembre 2023, 21:23
◄ الجدول الطبيعي المعياري
Aller à…
Aller à…
Annonces
بطاقة تعريفية للمقياس
الجدول الطبيعي
جدول ستيودنت
االتصحيح النموذجي للامتحان السداسي الثالث
المراجع
المتغيرات العشوائية المتقطعة
المتغيرات العشوائية
محادثة
تواصل
واجب
المتغير العشوائي المستمر
أعمال موجهة + تصحيح 01
محادثة
تواصل
توزيع ذات الحدين
محادثة
تواصل
أعمال موجهة + التصحيح 02
واجب
توزيع بواسون
مثال تطبقي
أعمال موجهة + تصحيح 03
محادثة
تواصل
واجب
التوزيع الهندسي + مثال تطبيقي
أعمال موجهة + التصحيح 04
تواصل
محادثة
واجب
التتوزيع الهندسي الزائد
محادثة
تواصل
مثال تطبيقي
الاعمال الموجهة 05 مع التصحيح
التوزيع الطبيعي
أعمال موجهة 06 TD
تواصل
محادثة
واجب
التوزيع الطبيعي المعياري
مثال
تواصل
محادثة
الجدول الطبيعي المعياري
محادثة
تواصل
توزيع ستيودنت
مثال
تواصل
محادثة
توزيع كاي تربيع
مثال
تواصل
محادثة
توزيع فيشر F
مثال
محادثة
تواصل
تقارب توزيع ذوالحدين إلى التوزيع الطبيعي
مثال تطبيقي
تواصل
محادثة
محادثة ►
Retour