Minimisation de l’erreur de  prédiction

On a vu que les paramètres d’un modèle sont identifiés en minimisant un critère quadratiques basé sur l’erreur de prédiction définie comme :

Pour les structures FIR et ARX, l’erreur de prédiction est linéaire par rapport au vecteur de paramètres à  identifier et donc le minimum du critère  peut être calculé avec la méthode des moindres carrés. Les autres structures résultent en un problème d’optimisation non linéaire pour laquelle on  utilise le plus souvent l’algorithme itératif de Gauss-Newton.

Méthode de Gauss-Newton(méthode de gradient)

Dans de nombreuses applications , la fonction modèle n’est pas linéaire par rapport à ses paramètres

Exemple  :   réponse indicielle d’un circuit du 1erordre


L’expression du modèle est :


Avec    

La dépendance vis-à-vis du paramètre est non-linéaire, il n’est plus possible de résoudre le système par la méthode linéaire (pas de matrice H)

La proposition est a partir d’une valeur initiale  des paramètres et de modifier itérativement la valeur de  d’un incrément   de façon à minimiser le critère d’erreur quadratique cumulée    a chaque étape.

Etape initiale

Pour      

Le modèle prend les valeurs :

   

L’erreur entre modèle et les mesures est : 


L’erreur quadratique cumulée est :


Généralement, l’erreur cumulée sera importante, les conditions initiales étant éloignées de la solution optimale.  

Incrémentation

Modification de la valeur   d’un incrément   de façon à minimiser le critère d’erreur quadratique cumulée  .  Pour   , le modèle prend les valeurs    et l’erreur   .
Pour se placer au minimum d’erreur, on choisit  tel que    
Calcule du minimum de l’erreur cumulée


Calcule  de        par  le développement de Taylor du 1er ordre du modèle qui  permet d’approximer la nouvelle valeur du modèle à chaque instant d’observation :


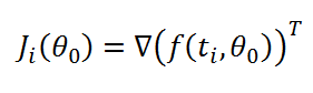
Avec         gradient de f en ligne

L’extension à l’ensemble des points de calcules prend la forme matricielle suivantes :


Avec

 jacobienne de f/ paramètres 

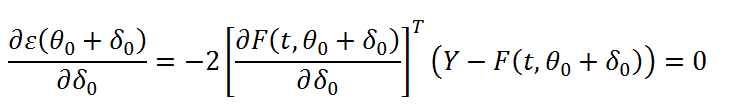
Calcul du minimum de l’erreur cumulée :


D’où  

On en déduit la valeur de l’accroissement à faire sur les paramètres pour minimiser l’erreur :


Itération

On itère en définissant les nouvelles valeurs des paramètres  et les nouvelles valeurs du modèle    . la correction suivantes à faire sera :


Remarque : certaines valeurs initiales ne permettent pas à l’algorithme de converger

L’inversion de la matrice   peut poser problème (matrice singulière)  . pour éviter se blocage  on propose  l’algorithme suivante de (Levenberg- Marquardt ) suivantes :


Le paramètres \( \lambda \)   joue le rôle d’un amortissement de la correction ; il doit être ajusté à chaque pas de calcul. Dans le cas simples on peut se contenter d’un amortissement constant, dont la valeur  initiale a été proposée  par Marquardt :


\( \tau \)      est un paramètre de gain a choisir convenablement.






آخر تعديل: الاثنين، 25 سبتمبر 2023، 11:34 AM