تخطى إلى المحتوى الرئيسي
اسم المستخدم
كلمة مرور
تسجيل الدخول
نسيت اسم المستخدم أو كلمة المرور الخاصة بك؟
usmt
📅 Moodle par année
Consultez les cours de l'année académique 2025/2026
Consultez les cours de l'année académique 2024/2025
Consultez les cours de l'année académique 2023/2024
CILT
بالعربي workplace (ar_wp)
English (en)
Français (fr)
العربية (ar)
بالعربي workplace (ar_wp)
البحث في المقررات الدراسية
إرسال
Mathématiques 3
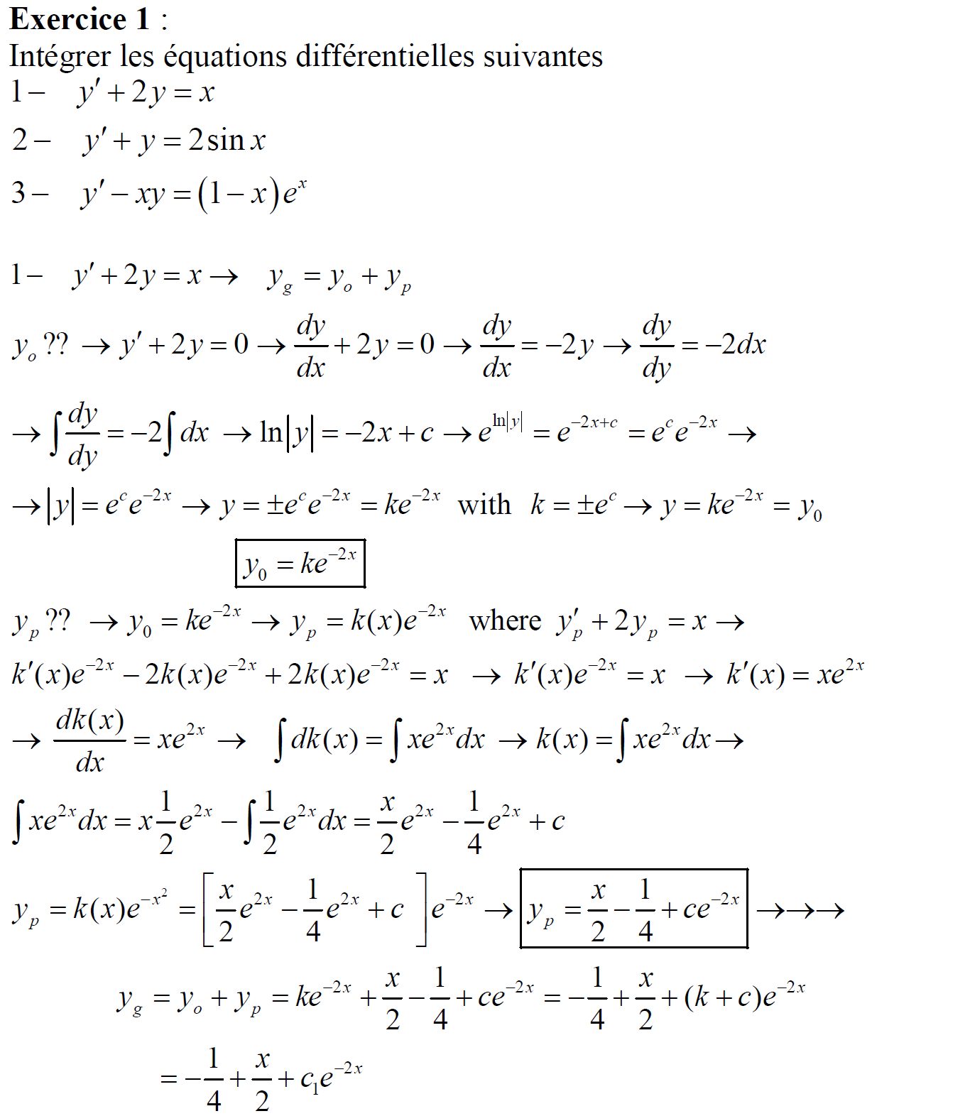
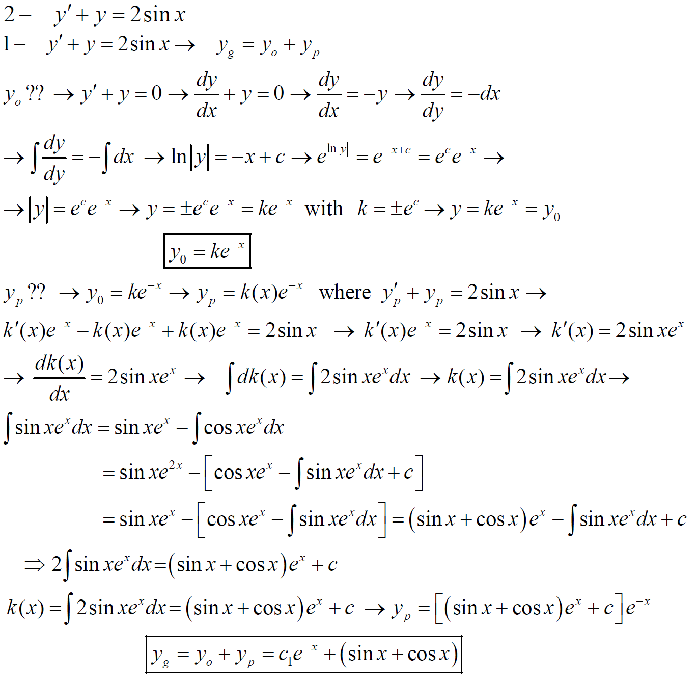
TD: Equations differentielles
التأشير بأنه منجز
آخر تعديل: السبت، 16 ديسمبر 2023، 10:30 PM
► Equations différentielles
الانتقال إلى...
الانتقال إلى...
Annonces
Annonces
Course 1: Riemann Integrals
TD: Riemann Integrals
Course 2: Improper Integrals
TD: improper_integrals
Course 3: Double Integrals
TD: Double Integrals
Triple integral
TD: Triple integral
Triple integral in cylindrical and spherical coordinates
TD Triple integral in cylindrical
Series
TD Séries
Functional series
Series TD2
TD3(suite)
Equations différentielles
Partial differential equations
TD Partial differential equations
Transformée de Fourier
Transformée de Fourier 2
TD : Transformée de Fourier
Transformée de Laplace
TD : transformé de laplace
Contrôle continu
Correction de l'examen
Test
Correction d'examen 2022
Test 2
solution test
Test 3
Correction de l'Examen
Partial differential equations ◄
عودة